不只是NaH,DMSO在8種情況下存在爆炸風險!
二甲基亞砜(DMSO)是化學工業和學術研究中廣泛使用的偶極非質子溶劑,因為它具有可溶解有機和無機化合物的理想物理性質,又被稱為”萬能溶劑“。DMSO毒性低,在人體中,DMSO通過氧化為二甲基砜或還原為二甲基硫醚而代謝,這些二甲基硫醚會在尿液和糞便中排出。由于DMSO對人體的毒性低,因此在關于雜質ICH指南Q3C中,DMSO被歸類為“ 3類”溶劑。正因為其普遍性,DMSO的爆炸風險仍未得到充分認識。

此前我們報道了DMSO/DMF等溶劑與NaH混合會有爆炸危險,事實上,許多物質均可大大降低DMSO分解的起始溫度,還可能通過自催化行為增加分解反應的嚴重性,并導致失控的情況甚至爆炸。這些化合物包括酸,堿,鹵化物,金屬,親電子試劑,氧化劑和還原劑。

1. 純DMSO的熱分解
純DMSO在室溫下穩定,但在高溫下會分解。差示掃描量熱法(DSC)評估表明,當在氮氣氛下進行實驗時,純DMSO在278°C左右檢測到分解。同時加速量熱法(ARC)表明DMSO的熱分解在其沸點189°C附近即可發生。某些物質的存在可以大大降低DMSO分解的起始溫度,還可能加劇DMSO的熱分解,包括酸,堿,鹵化物,金屬,親電試劑,氧化劑和還原劑,并導致失控的情況甚至爆炸。
Brandes和Smith通過GC-HRMS徹底分析了DMSO分解混合物,并報告了DMSO熱分解過程中形成的產物的綜合摘要。

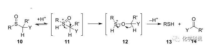
2. 酸性條件下DMSO的爆潛在爆炸危險
1983年,一個化工廠在制冷系統維修期間將DMSO和p-硝基甲苯磺酸的混合物在60攝氏度的2000L反應器中放置5天。在事件發生的當天,發現即使關閉下游自動閥上的控制器,手動蒸汽閥仍處于部分打開狀態。反應器溫度顯示為160℃,并且以3°C/5分鐘的速度持續升高,黑色反應物質逐漸從人孔溢出,最終導致爆炸。該事件將反應容器破碎成碎片,對周圍地區造成了嚴重破壞,財產損失總額超過250萬美元。根本原因的調查顯示,DMSO和p-硝基甲苯磺酸的組合在> 200°C時劇烈分解。
雖然純DMSO在低溫下穩定,但是,酸性物質的存在會導致其在較低的溫度下分解,并可能導致DMSO自催化分解,從而導致失控的情況甚至爆炸。酸催化裂解亞砜的建議機理如下:

DMSO /酸混合物的熱分解和爆炸能量數據顯示,幾乎在所有情況下,酸的存在都會降低DMSO分解的起始溫度,并增加總能量釋放。

3.堿性條件下DMSO的潛在爆炸危險
強堿(如NaH或叔丁醇鉀(KOt-Bu)可將DMSO轉化為有效的甲基化劑二甲基離子。1966年,錫安山醫院和醫學中心的癌癥化學治療研究部發生了劇烈爆炸,當時科學家們在70°C的條件下用NaH處理DMSO制備二甲基離子進行雜芳烴的甲基化。在該實驗過程中,研究人員在3小時內分5批將4.5 mol NaH添加到18.4 mol DMSO中。在機械攪拌下將反應混合物保持在70℃。1小時后,觀察到溫度略有升高并出現綠色固體沉淀。然而,當研究人員試圖冷卻反應混合物時溫度迅速升高,幾秒鐘后發生爆炸,釋放出有毒氣體和水溶性,粘稠且類似聚合物的物質。
1992年,報道了另一起使用DMSO和鈉金屬制備二甲基離子溶液的過程中發生的爆炸,造成兩人死亡和兩人受傷。爆炸完全摧毀了實驗室,爆炸原因是14 L的DMSO在15-20分鐘內溶解了大量鈉金屬,正常情況下,鈉需要2-3小時的溶解時間,并有溫和的放熱。

4.鹵化物存在下DMSO的潛在爆炸危險
鹵化物的存在會降低DMSO分解的起始溫度,比如烷基溴化物、 KBr、NaBr、KF、FeCl 3、六氯環三磷嗪,Br2/HBr,氟代硫酸銫(CsSO4F),對稱二氯雙(2,4,6-三氯苯基)脲,鹵代甲基酮等均有報道與DMSO接觸會引起潛在的安全隱患。1973年,Scaros和Serauskas報道了制備三甲基硫代溴銨(37)時發生的爆炸,在2 L玻璃纖維涂層的容器中,600 g的甲基溴與880 g的DMSO在66°C下反應90-130 h。該反應已經成功地進行了10次。但是,混合物在120小時后爆炸。幸運的是,由于該反應是在偏遠地區進行的,因此沒有造成嚴重的損壞或人身傷害。


6.親電試劑存在下DMSO的潛在爆炸危險
親電物質可活化DMSO以進行多種氧化轉化。DMSO與親電試劑劇烈反應,如氰尿酰氯,乙酰氯,苯甲酰氯,苯磺酰氯,亞硫酰氯,磷酰氯和三氯化磷。
例如,利用草酰氯(51)活化DMSO,將醇氧化為羰基化合物。研究人員觀察到51在室溫下與DMSO發生爆炸性反應,并評論說,合成應用中必需的中間體52的制備和使用應在低溫下進行。另外,活化的中間體52分解以提供53,同時損失二氧化碳(CO 2)和一氧化碳(CO),如果不適當地排氣,則會在反應容器中引起壓力升高。還值得指出的是,在該反應過程中形成的氯離子還可以催化DMSO的熱分解,從而有可能導致反應失控甚至爆。


8.還原劑存在下DMSO的潛在爆炸危險
DMSO可被某些還原劑還原為二甲基硫醚。當使用強還原劑時,該反應可能會劇烈放熱,如果放熱速率超過排熱速率,則存在潛在的安全隱患。反應中使用的還原劑和催化劑以及還原反應過程中形成的副產物可能會降低DMSO分解的起始溫度和/或增加嚴重性,從而導致失控的情況甚至爆炸。對DMSO,水和還原劑硼氫化鈉(NaBH4)的混合物進行的ARC分析表明,由于NaBH4或其分解副產物硼酸鈉(NaBO2)的存在,DMSO熱分解的起始溫度大大降低。

